+91 7682 015 542       info@gexinonline.com

  • Account
    • Sign In
      • Author
      • Editor
      • Reviewer
    • Sign Up
      • Author
logo
  • Home
  • Open Access
  • About Us
    • About Us
    • Our Team
  • Journal
  • Submission
    • Submit Manuscript
    • Instructions to Authors
    • Review Process
    • Join As Reviewers
    • Our Reviewers
  • Policies & Ethics
    • Open Access Policy
    • Editorial Policy
    • Conflict of Interest
    • Publication Ethics and Malpractice Statement
    • Plagiarism Policy
    • Review Policy
    • Correction, Retraction, Withdrawal Policies
    • Digital Preservation Policy
    • Waiver Policy
    • Complaints Policy
    • Advertising Policy
    • Data Sharing Policy
    • Policy on Statement of Informed Consent
    • Policy on Ethics of Human and Animal Experimentation
  • Contact Us
  • About the Journal
  • Editorial Board
  • Review Process
  • Author Guidelines
  • Article Processing Charges
  • Special Issues
  • Current Issue
  • Past Issue
Journal of Social Work and Welfare Policy
Full-Text HTML   Full-Text PDF  
Peer Review Reports

Journal of Social Work and Welfare Policy Volume 4 (2026), Article ID: JSWWP-180

https://doi.org/10.33790/jswwp1100180

Research Article

Implementation and Impacts of Taiwan’s Time Bank Multi-Empowerment Program Across Six Townships

Hui-Ching Cheng1, Hung-Yu Liu2, & Ming-Ju Wu3*

1PhD Candidate, Department and Institute of Social Welfare, National Chung Cheng University, No. 168, Sec. 1, University Rd., Minhsiung, Chiayi 621301, Taiwan.

2Adjunct Assistant Professor, Third Life University Curriculum Program, Department and Institute of Social Welfare , National Chung Cheng University, 168, Sec. 1, University Rd., Minhsiung, Chiayi 621301, Taiwan.

3Professor, Department and Institute of Social Welfare, National Chung Cheng University, No. 168, Sec. 1, University Rd., Minhsiung, Chiayi 621301, Taiwan.

Corresponding Author Details: Ming-Ju Wu, Professor, Department and Institute of Social Welfare, National Chung Cheng University, No. 168, Sec. 1, University Rd., Minhsiung, Chiayi 621301, Taiwan.

Received date: 08th December, 2025

Accepted date: 15th January, 2026

Published date: 17th January, 2026

Citation: Cheng, H. C., Liu, H. Y., and Wu, M. J., (2026). Implementation and Impacts of Taiwan’s Time Bank Multi Empowerment Program Across Six Townships. J Soci Work Welf Policy, 4(1): 180.

Copyright: ©2026, This is an open-access article distributed under the terms of the Creative Commons Attribution License, which permits unrestricted use, distribution, and reproduction in any medium, provided the original author and source are credited.

Abstract

In recent years, the government has actively promoted symbiotic communities, hoping that communities can become nodes in social relationship networks and form mutual-support living circles. Departing from the Euro-American time bank framework, the time bank promoted by National Chung Cheng University has adopted Taiwan's traditional rural huan-gong (labor exchange) as its model of dissemination, gradually evolving toward the ideal of a symbiotic community.

This study aims to examine the implementation outcomes of the Ministry of Health and Welfare's "Time Bank Multi-Empowerment Program" in six townships across northern, central, and southern Taiwan (Dalin Township and Xingang Township in Chiayi County; Dapi Township and Huwei Township in Yunlin County; North District of Hsinchu City; and Neipu Township in Pingtung County), and to explore what kinds of impacts and transformations it has brought to individuals, communities, and organizations.

A stratified random sampling strategy was adopted to administer questionnaires in the six areas, resulting in 204 valid responses. Findings show that time bank members are mainly middle-aged and older (51–64 years), female, with a college education, married, living with spouse, and relying primarily on employment or business income; their (current or previous) main occupation is in industry and commerce, and their monthly disposable income is mainly under NT$20,000. More than half (59.3%) reported having engaged in exchange (mutual aid) behaviors. Over 80% agreed that the exchange behaviors produce positive effects: 82.3% believe that exchange (mutual aid) improves confidence in others; 87.3% report increased happiness; and 90.2% feel a strengthened sense of identity and belonging. Six different township-level time bank models are identified through additional analysis and synthesis: the social support type of Dalin Township in Chiayi County; the care point alliance type of Xingang Township; the community alliance type of Dapi Township in Yunlin County; the organizational integration type of Huwei Township; the aging-in-place type of North District of Hsinchu City; and the community industry development type of Neipu Township in Pingtung County. Site-level differences were examined using chi-square testing. These findings have important implications for policymakers and community practitioners. Suggesting that time banking can be effectively adapted to diverse local contexts to enhance social capital, mutual support, and community wellbeing, particularly in aging societies.

Research Background

Origin of the Study

According to relevant United Nations research on sustainable development and land degradation, billions of hectares of land worldwide have been degraded, affecting the livelihoods of over 3 billion people, hastening species extinction, and exacerbating climate change [1]. Nearly 700 million people live on less than NT$60 per day. The research indicates that economic inequality has intensified globally, with the wealth owned by the richest 1% of the global population exceeding the remaining 99% combined [2]. Since the COVID-19 pandemic in 2020, structural inequalities such as income disparity, gender inequality, and racial discrimination have dramatically worsened.

"Sustainability" should thus be interpreted not only as economic development that does not exceed environmental carrying capacity, but also as development that protects essential human rights such as food, shelter, energy, and education. In short, future global development must take "sustainability" as its core principle in meeting the needs of current generations without compromising those of future generations. Sustainable development must be based on the constant regeneration of resources and a future in which everyone has an equitable standard of living.

Effective integration of diverse forces and resources to address sustainability concerns is possible only when residents in each country understand and engage with sustainable development issues. Bottom-up mobilization of civil society and the consolidation of independent civic authority are es-sential in this process. Social capital theory suggests that community-level trust and reciprocity networks enable collective action for addressing complex social problems [3], making local initiatives essential for sustainable development.

International research on time banking demonstrates its potential to build social capital and community resilience across diverse contexts. Studies from the United Kingdom [4]. Sweden [5] and the United States [6] demonstrate how time banks can develop reciprocity networks and improve community wellbeing. Recent research in China [7,8] and Hong Kong [9] has examined how time banking operates in Asian aging societies, while studies in India [10] have examined implementation issues in resource-constrained contexts. However, most research focuses on Euro-American models. Leaving questions about how time banking functions when adapted to local cultural practices and community development priorities.

In 2019 (ROC Year 108), the time bank research team, led by Professor Ming-Ru Wu from the De-partment of Social Welfare at National Chung Cheng University, initiated collaboration with the Wisteria Women and Children's Concern Association in Chiayi County. Using the "Breathing in the Forest Café" (Senhuxi Living Hub) in Dalin as a community empowerment base, they embedded the time bank within Taiwan's socio-historical context and local culture to initiate promotion work. To further transform residual, compensatory welfare thinking, and one-way volunteer service, the team gradually expanded from point to line and to the surface, developing various innovative social services across food, clothing, housing, transportation, education, recreation, and emotional well being.

Starting with a single family caregiver service station in Chiayi County, the initiative expanded to a local "small flagship" community in Dalin to strengthen neighborhood interaction and cooperation, implementing the philosophy that "care is everyday life." Beginning in 2022 (ROC Year 111), to construct more diversified and localized community-based service models, the team further collaborated with the Shangyi Community Development Association in Dapi Township, Yunlin County, its community care point and senior fitness club, and the Long-Term Care ABC system of the Quanan care network in Xingang Township, to foster close relations between community residents and front-line personnel in community care stations or quasi-stations. Through this, the project aims to link human, material, and land resources in the community, enhance the action capacity of local community organizations, and promote holistic, community- based care and age-friendly environments.

Research Questions and Objectives

Robert Waldinger, Professor of Clinical Psychiatry at Harvard Medical School and director of a longitudinal "Happiness" study spanning nearly 80 years (initiated in 1938, tracking 724 adults and annually surveying their work, life, and health), has identified one pivotal finding: good relationships are what keep us happy and healthy. This finding resonates with the social capital literature, which emphasizes the health and well-being benefits of strong community networks [3].

However, community vitality is deteriorating as a result of an aging society and considerable out-migration of younger residents from rural areas. How can neighborhoods, even when physically close, create a strong safety net that protects everyone's emotions and vulnerabilities? Since 2019, the Ministry of Health and Welfare's "Time Bank Multi-Empowerment Promotion Program" has encouraged participating governmental and civic organizations to develop time banks autonomously to preserve diversity and richness in implementation. After several years of promotion, important questions arise:

• How effective has the program been in each locality?

• To what extent has the time bank concept become more familiar and shared in terms of understanding and interpretation?

Drawing on social capital theory [3,11] and community resilience frameworks [12], this study addresses three specific research questions;

• What are the perceived benefits and life impacts of time bank participation among members across different townships in Taiwan?

• How do different township contexts shape the implementation and outcomes of time banking programs?

• Which specific models of time banking have developed as a result of Taiwan’s adaptation of traditional labor exchange (huan-gong) practices?

The government hopes that by introducing time bank mechanisms, communities will build a foundation of mutual trust and support. Communities are encouraged to conduct their own assessments of service and resource needs, creatively develop services aligned with residents' everyday life needs, and connect residents and resources, thereby forming dense service networks to meet welfare needs. It is expected that services will become more accessible and diversified, while enhancing individual self-worth, deepening social capital, strengthening community problem-solving capacity, and improving quality of life.

The Chung Cheng University time bank project has consistently focused on substantial, meaningful collaboration with local organizations, seeking to transform imported time bank concepts into "mutual support" ideas and actions that are better aligned with local culture and needs. Therefore, this study uses questionnaire surveys and analysis to understand the implementation effectiveness of the Ministry of Health and Welfare's "Time Bank Multi-Empowerment Program" in six townships across northern, central, and southern Taiwan (Dalin and Xingang in Chiayi; Dapi and Huwei in Yunlin; North District of Hsinchu City; Neipu in Pingtung), and to examine what specific impacts and changes it has brought to individuals, communities, and organizations. Based on the findings, the study makes recommendations for future time bank promotions.

Literature Review

Theoretical Framework

This study draws on social capital theory and community resilience frameworks to analyze time banking's role in building symbiotic communities. Social capital, conceptualized as the networks, norms, and trust that facilitate coordination and cooperation for mutual benefit [3,13], provides the theoretical foundation for understanding how time banking creates value beyond economic exchange. Bourdieu [11] distinguished between economic, cultural, and social capital, stating that social capital is inherent in the structure of actors' relationships. Time banks facilitate the conversion of time a universally distributed resource into social capital through reciprocal exchange relationships.

Community resilience, defined as the collective ability to tolerate, absorb, and adapt to threats and disruptions [14], offers a complementary perspective on how time banking enhances communities' capacity to deal with aging-related challenges. By creating dense networks of mutual support, time banks may enhance both bonding capital (within-group ties) and bridging capital (between-group connections), thereby building community capacity for collective problem-solving [15]. This theoretical framework guides our analysis of how Taiwan's township-based time banks generate multiple forms of capital and foster symbiotic community behaviors.

From Volunteering to Labor Exchange: A Shift in Perspective

Taiwan's "Volunteer Service Act" was officially enacted in 2001. It emphasizes selfless dedication in volunteer service, which contrasts sharply with the time bank model that prioritizes mutually beneficial and reciprocal service.

In 1980, Professor Edgar S. Cahn in the United States proposed the concept of the "time bank," hoping to promote a community-based mutual aid system in which everyone can work and enjoy equal opportunities by exchanging services [16,17]. He emphasized four core principles:

• Assets – Everyone is an asset creator and contributor.

• Redefining Work – Work meaningful to society is not limited to jobs in the formal labor market. Activities such as family caregiving, neighborhood watch, and democratic participation also contribute to society.

• Reciprocity – Two-way mutual support replaces one-way volunteer service, avoiding dependency among recipients. Mutual exchange fosters a stronger sense of achievement.

• Social Capital – Expanding social networks and building trust help accumulate social capital.

Recent scholarship has examined how time banking participation decisions are influenced by both intrinsic motivations and extrinsic cues embedded in service requirement narratives [18]. Time banks thus redefine "work," liberating it from purely monetary gain. Time banking has been positioned as an alternative financial system that fosters community collaboration and equitable wealth distribution. Scholars emphasize its potential to transform local economic relationships and address structural inequalities [2]. Saving and exchanging time draws people closer, in contrast to unconditional volunteer service.

Time banks help promote community inclusivity and diversity, allowing marginalized individuals who were previously thought to have little or no contribution potential to obtain role recognition, social acceptance, and self-growth [6]. Essential everyday services are no longer excluded simply because they do not generate financial income. Stepping outside the mainstream economic system and market mechanisms, neighborhood caring, child education and care, community connections, and informal support embody strong meanings of social justice in community development.

Lin and Liu [19] found that culturally, combining time banks with traditional huan-gong labor exchange is not straightforward due to differences in ethnicity, region, and generation. At the operational level, most exchange items are everyday trivial tasks, while technical or professional services tend to leave a deeper impression. At the group level, most participants are women and retirees, limiting group diversity and social capital development. For future expansion, cross-sector collaboration is necessary, but attention must be paid to management, funding, and boundary issues.

Wu (2014) points out that in early agrarian societies, huan-gong was a common form of mutual aid for harvesting crops among neighbors. When mechanization was not widespread, busy farming seasons required large amounts of labor, so huan-gong or bang-ban became an important mechanism for mutual benefit and symbiosis among villages. This culture existed not only among Han people but also among many Indigenous and Hakka communities. Many Indigenous practices embody philosophies of mutual help and sharing, such as the Atayal sbayux, Amis mapaliw, Truku tmayaw labor exchange, Bunun paindadanqaz, and Hakka jiao-gong [20]. These arrangements whether collective labor, accompaniment of bereaved families, joint care of vulnerable children, or Hakka "labor sharing" all reflect everyday practices of helping others in Taiwan. Through co-working, co-eating, sharing, and co-prosperity, members consolidate their collective strength and maintain livelihood stability. These are ordinary, natural mechanisms of life that manifest core values of collective mutual aid and sharing in various forms of labor (Lin, 2022).

Liu et al. [21] remind us that the increasing burden of caregiving requires enormous time and financial resources that individual families can no longer shoulder alone. With respect to older adults' everyday self-care needs and the "unmet needs" between the formal long-term care system and family life demands, more diverse collaborative mechanisms are required to fill the gaps.

In the past, governmental and non-governmental time bank initiatives in Taiwan have often adopted the slogan "exchanging time to save for old age," encouraging members to accumulate service hours. However, many members remained unclear about withdrawal mechanisms and concepts. Combined with the Volunteer Service Act's emphasis on sacrifice and non-remuneration, and the fact that most volunteers are middle-aged and not yet in need of care, an "only saving, not withdrawing" phenomenon emerged as a major obstacle to time bank development. Similar challenges with unclear withdrawal mechanisms have been documented in the United Kingdom time banking contexts, where discursive tensions between market logic and community solidarity create management dilemmas [22].

To transcend the limitations of traditional volunteer service, Liu and Wu [23] reframed the time bank in locally grounded terms as "labor exchange" (huan-gong). Compared with "volunteers" who only provide one-way services, "exchange workers" (huan-gong zhe) are encouraged to be both helpers and recipients. The term downplays the "banking" function of saving and numerical accounting and instead emphasizes "exchange" as a behavior grounded in community participation and egalitarian mutual support. Regardless of gender, age, or socioeconomic status, and without requiring completion of a fixed number of training hours, anyone with a willing heart and modest capacity can help others in daily life.

From One-Way to Two-Way: Diversified Service Strategies

According to the Ministry of Health and Welfare's Department of Statistics [24], the features of long-term care services with the least satisfaction are "insufficient service hours," "insufficient service frequency," and "service times not matching their needs." Time banks, which advocate mutual benefit and mutual aid, can partially address some non-professional needs through informal caregiving arrangements.

For the general public, time banks are not designed to replace existing volunteer services or confine themselves to a narrow service scope. Rather, they seek to maximize the opportunities and effectiveness of volunteer activities [25]. Huang and Lee [26] found that as time banks develop mutual-aid service networks, they not only successfully mobilize older adults to participate in volunteer service but also inspire volunteers to rediscover and exercise their skills such as hairdressing, facial threading, cooking, sewing, and patchwork thus responding to the diverse needs of older adults' everyday life. These skills then become an important form of capital for future community development.

Studies have shown that time banks effectively broaden participants' social networks and help discover more community resources, even invigorating and improving existing older-adult communities that suffer from limited interaction and loneliness [27]. Consequently, many countries facing population aging have adopted time banks as one strategy to address social problems. Research on promoting late- life volunteering through time banking demonstrates that reciprocal exchange mechanisms can successfully engage older adults who might not participate in traditional one-way volunteer programs.

Lin and Liu [19] argue that in order to effectively discover or create community capital, it is necessary to build a resource-development group: the richer and more diverse the resources, the more diverse the members' backgrounds. This finding demonstrates the presence of numerous accessible resources and various forms of capital within communities. As these resources and services are developed and exchanged through mutual aid, communities naturally seek to connect time banks with long-term care resources, ensuring that older adults can access appropriate services when needs arise and thus feel supported in their everyday community life. Therefore, many governmental time bank programs use service exchange and time withdrawal to supplement gaps in existing services for older adults.

However, time bank systems that focus solely on long-term care services especially when service providers are non-professionals may fail to adequately address older adults' actual daily care needs. Implementation challenges in person-to-person time banks include difficulties in matching service providers with recipients, ensuring service quality in preventive social care contexts, and balancing professional standards with community flexibility [4]. There is a need for more diverse collaborative mechanisms between institutional long-term care regulations and family-level needs in order to increase individuals' and families' resilience in a super-aged society. Social resilience implies that each member of a society or community must be able to withstand, absorb, resolve, and adapt to threats and disasters that is, society as a whole must collectively shoulder the impacts of demographic aging.

From Building Mutual Support Networks to Generating Symbiotic Behaviors

Wu and Chou [28] employed social network analysis (SNA) to examine the network relationships and patterns of eight communities that had previously implemented time banks. The findings show that as the duration of time bank implementation increased, the content and nature of service exchanges evolved along with relationship changes. In other words, as promotion efforts continued and mutual trust deepened, exchange services shifted from simple material exchanges to more private and intimate forms of companionship and care.

Network analysis indicated that in most communities, key actors in degree or betweenness centrality were time bank coordinators, community leaders, or volunteers. In some communities, service exchanges remained one-way, with individuals either mainly providing or mainly receiving services. In terms of exchange types, instrumental support dominated most communities, and with regard to network centralization, no case showed highly centralized patterns.

In a township-level pilot study, Liu et al. [21] found that participants' identification with the idea of the time bank exceeded their concern for the ease of using exchange tools. Many personal needs only became visible through close interaction. They therefore suggested that time banks should take "trust as the warp and altruism as the weft" when constructing convenient mutual-aid living circles in communities. On this basis, user-friendly information platforms (physical and online) can be developed to mediate service matching and linkages, and to coordinate actual service exchanges and delivery in collaboration with other organizations. In this way, a holistic web of care and mutual support can be woven across all aspects of daily life.

Such an interconnected social network functions like a dense safety net: through human connections, it generates multiple forms of trust and mutual aid, "catching" community members who need help, enhancing their resilience and stress-coping capacity, and gradually forming a symbiotic community. In such communities, residents are the main actors, collectively shaping local environments that better fit their aspirations for everyday life. This not only strengthens connections among residents but also increases opportunities for individuals to remain independent and active.

With changes in modern family and community structures, people's sense of obligation and identification has gradually weakened, and interpersonal relationships have become more distant. Consequently, "trust relationships," which help accumulate social capital, have also declined [29]. Time banks in Taiwan have developed slowly. Currently, those that remain relatively well-known and in operation include the publicly administered "Bu-Lao Time Bank" in New Taipei City and the "Breathing in the Forest Living Hub" time bank operated jointly by the Wisteria Women and Children's Concern Association in Chiayi County and National Chung Cheng University's "labor exchange" mechanism. However, there are ongoing concerns about fairness in time withdrawal, limitations in service scope, the habit of saving hours rather than withdrawing them, insufficient involvement of professionals, and the ambiguity about which services count toward time credits.

While introducing technology and smart management systems can considerably increase administrative efficiency, it may also reduce the flexibility and tacit understandings that come with shared governance. For community members with lower educational attainment and limited digital literacy, technological systems risk creating digital divides and feelings of exclusion. Since the aim of time banks is not to exclude vulnerable groups but to strengthen communities' mutual-support systems so that those in socially disadvantaged or marginalized positions can be included and have their capacities transformed into community energy [21] the introduction and application of digital technology must proceed incrementally and carefully to avoid unintended negative consequences.

In 2016, Japan established the "Headquarters for Creating a Society in Which All Citizens are Dynamically Engaged" and subsequently advanced the idea of a "symbiotic community society," challenging the dichotomy between "caregivers" and "care recipients." The goal is to create communities in which every resident can mobilize their own abilities through self-help, mutual help, and public help, such that "what happens in your home is the community's concern, and community affairs are your concern." Similar initiatives in China have focused on institutionalization construction to develop sustainable time bank frameworks within national policy contexts [7]. This recalls Taiwan's traditional rural huan-gong practices, whereby neighbors collectively cared for people from childhood to old age instead of relying solely on experts or the state.

Given Taiwan's longstanding culture of warmth and human connection, existing frameworks such as community building projects, community development associations, type-C community care sites, churches, temples, performance troupes, and Indigenous communities can all serve as foundations for symbiotic communities. Through time banks, community members can earn credits by cooking meals, mowing lawns, or even paying taxes, and then use these hours to receive services from others, thereby strengthening community cohesion.

In September 2022, Minister without Portfolio Wan-Yi Lin proposed the "Strategies for Responding to a Super-Aged Society," with over NT$120 billion to be invested over four years (2023–2026) to implement the goals outlined in the White Paper on an Aged Society. The budget includes funding to promote symbiotic communities, with the ultimate goal of establishing 100 symbiotic communities within four years.

Yet before reaching this goal, we must ask: How can communities actually achieve "mutual care"? How much flexibility do existing systems possess to transform increasingly standardized models of community care? How can equality be pursued so that all community members avoid stigmatization and fully realize their value and meaning? To what extent can social actors and resources be effectively linked through time banks, spanning from preventive to long-term care at the end of life, to fully realize the mutual-aid spirit and, through mutual trust and shared responsibility, enhance the overall capacity to cope with shocks? How can community practitioners avoid being fragmented and constrained by institutional structures? How can professional organizations and residents co create cooperative mechanisms, gather local talent, and share resources?

Executive Yuan's 2023–2026 White Paper on an Aged Society explicitly presents four developmental visions autonomy, independence, inclusion, and sustainability. Support for older adults should help them maintain autonomy and independence in daily living; at the societal level, it should promote intergenerational inclusion and strengthen social sustainability. However, current social welfare policies are heavily influenced by New Public Management, which is driven by cost and performance, and thus neglects real-life needs that fall outside of professional and bureaucratic categories especially informal services that remain invisible in policy frameworks.

Although time banks have been implemented by various levels of government and civil society in Taiwan for several years, they have not yet become a significant social policy or institutional arrangement. Research on the United Kingdom voluntary sector time banks reveals management paradoxes, such as tensions between bureaucratic accountability and community flexibility, discursive bricolage between market and solidarity logics, and challenges in sustaining volunteer engagement [22] challenges that are similar to Taiwan's experience. One major reason is that many initiatives have focused primarily on building human resource databases and recording service hours, without seriously examining whether correct concepts have been established and whether management is effective. As a result, long-term, comprehensive promotion plans have been lacking, the public has not fully understood the good intentions of time banks, and accountability issues have remained a key impediment.

Paper-based mutual-aid coupons require extra recording and safekeeping, making them inconvenient for middle-aged and older adults; they are easy to forget or lose and are not portable, which hinders service exchange [26]. Therefore, more and more studies recommend using technology to ensure fairness and facilitate efficient management of time bank members' data, service items, and time credits. Blockchain-based mobile time banking systems have demonstrated potential for secure transaction recording and enhanced accessibility for elderly users in community care contexts [30], though implementation requires attention to digital literacy barriers. Fan et al. [31], for example, found that using smartphones as carriers can effectively match supply and demand and establish a reciprocal model that enables two-way service withdrawals.

Research Design and Methods

This study began administering questionnaires in November 2024 (ROC Year 113) and collected 204 valid responses. The questionnaire comprised four main sections: (1) personal background information, (2) participation status in the time bank, (3) perceived benefits of time bank exchanges, and (4) perceived impacts of time bank participation on everyday life. These four dimensions formed the basic structure of the instrument.

The questionnaire was developed through a multi-stage process informed by existing time banking literature [4,6,32] and Taiwan- specific research on labor exchange traditions [25,33]. Initial items were generated through consultation with time bank practitioners and community organization leaders across the six townships. A preliminary version was pilot-tested with 15-time bank members not included in the final sample, leading to refinements in wording and response formats to ensure clarity and cultural appropriateness.

The perceived benefits section (Section3) contained 12 items measured on a 5-point Likert scale (1=very unimportant to 5= very important), assessing dimensions including trust-building. happiness, emotional support, and practical assistance. The life impacts section (Section 4) comprised 21 items using a 5-point agreement scale (1=strongly disagree to 5=strongly agree), examining changes in wellbeing, social relationships, community engagement, and sense of belonging. Face validity was established through expert review by three social work faculty members and two-time banking practitioners, who confirmed that items adequately represented the constructs of interest. Content validity was supported by systematic item development grounded in theoretical frameworks of social capital and community resilience.

Sampling and Participants

The primary survey targets were time bank members in four townships across Chiayi and Yunlin Counties: Dalin Township, Xingang Township, Dapi Township, and Huwei Township. Considering the expansion of implementing organizations and the question of whether outcomes differ when implementation areas are narrowed or when cross-county service linkages are developed, the study also included two additional sites with similar needs and promotion philosophies Dongpian Community in Neipu Township, Pingtung County, and Beigang Community in the North District of Hsinchu City. Members of these two time bank sites were integrated into the survey for comparative analysis.

Data Processing and Analysis

Questionnaire data were primarily processed by computer, supplemented by manual handling. Computer processing involved selecting appropriate statistical methods according to measurement scales and using SPSS 22 to input, verify, and analyze the data. Manual processing included defining variables, data entry, file creation, review, coding, error checking and correction, and interpretive analysis. This analytical approach aligns with transaction data analysis methodologies used in recent time banking research [34].

Univariate descriptive statistics: Frequencies and percentages were used to understand the distribution of personal attributes. Chi square tests: Cross-tabulation and chi-square tests were conducted to examine relationships between key variables (e.g., site differences in perceived benefits and life impacts).

Research Findings

Personal Background Characteristics

The sample consisted of 204 valid responses. Women accounted for 74% (151) and men for 26% (53). Age distribution was: 51–64 years (37.3%, 76 persons), 65–74 years (27.5%, 56), 41–50 years (16.7%, 34), 75 years and above (11.3%, 23), 30 years and below (4.4%, 9), and 31–40 years (2.9%, 6).

Regarding education, 32.8% (67) had a college degree, 28.4% (58) had completed senior high or vocational school, 14.2% (29) held a master's degree or higher, 13.2% (27) had elementary school education or below, and 11.3% (23) had junior high school education.

In terms of marital status, 81.4% (166) were married and 12.7% (26) single. Current living arrangements showed that "living with spouse and children" and "living with spouse" tied for the highest proportion, each at 35.8% (73). Those living alone accounted for 11.3% (23), and those living with children only made up 9.3% (19).

As for main economic source, 47.5% (97) relied on work or business income, 32.4% (66) on pensions, survivors' benefits, or social insurance (including monthly retirement benefits), 13.2% (27) on support from spouse or partner, and 6.4% (13) on other sources, with only 0.5% (1) relying mainly on government assistance or allowances.

Regarding occupation, homemakers accounted for the largest group at 16.2% (33), followed by industry and commerce workers at 14.2% (29), long-term care workers at 12.7% (26), and freelancers at 10.8%(22).

Monthly disposable income was primarily under NT$20,000 (38.7%, 79), followed by NT$20,000–30,000 (29.9%, 61), NT$30,000–40,000 (12.7%, 26), NT$50,000 and above (9.8%, 20), and NT$40,000–50,000 (8.8%, 18).

Time Bank Participation Status

(1) Time Bank Site

Of the 204 respondents, the largest share, 22.5% (46), were members of the "Smile Fun-ban" time bank in Xingang Township, Chiayi County. This was followed by "Living Hands Café" in Dalin Township, Chiayi (18.6%, 38), "Wanpi Family" in Dapi Township, Yunlin (17.6%, 36), "Happy Sharing Home" in Huwei Township, Yunlin (14.7%, 30), and Beigang Community in Hsinchu City and Dongpian Community in Neipu Township, Pingtung (both 13.2%, 27).

(2) Prior Volunteer Experience Outside the Time Bank

Among respondents, 68.6% (140) had prior experience in volunteer services not related to the time bank, while 31.4% (64) did not. This pattern aligns with research demonstrating that time banking can successfully promote late-life volunteering by offering reciprocal exchange mechanisms that differ from traditional one-way service models (Lu et al., 2024). This suggests that most time bank members have also engaged in traditional volunteer services.

(3) Years of Non-Time-Bank Volunteer Experience

Among the 140 respondents with volunteer experience, those with less than two years of service comprised the largest group (26.5%, 54), followed by 2–4 years (15.2%, 31), more than 10 years (13.7%, 28), 4–6 years (7.8%, 16), and 7–10 years (5.4%, 11). In general, most respondents had relatively short volunteer careers.

(4) Years of Time Bank Participation

Most respondents had participated in time bank services for less than one year (61.3%, 125), accounting for around 60% of the sample. Those with two years of participation were 14.2% (29), more than three years 13.4% (28), and one year 10.8% (22). This indicates that for many participants, this was their first encounter with time banks.

(5) Reasons for Becoming a Time Bank Member

The main reason for joining the time bank was "compliance with organizational needs" (44.6%, 91), reflecting the importance of institutional promotion and recruitment. This was followed by "friends' invitation" (39.2%, 80), "saw recruitment information" (10.3%, 21), and "other reasons" (5.9%, 12).

(6) Number of New Friends Gained

Time bank participation substantially expanded members' social networks. The largest proportion (32.4%, 66) reported gaining 8–10 new friends, followed by 3 or fewer (23.5%, 48), 4–7 (22.5%, 46), and more than 11 (21.6%, 44). Overall, time bank participation clearly facilitates social expansion.

(7) Total Service Hours in the Previous Week

In the week prior to the survey, 59.3% (121) provided 2 hours or less of service, 28.4% (58) provided 3–5 hours, 6.4% (13) 6–8 hours, and 5.9% (12) more than 9 hours. Overall, time bank service participation tends to be short in duration.

(8) Most Frequent Time Periods of Participation

The most frequent participation time period was "irregular time and place according to activities" (36.3%, 74), followed by "weekend mornings" (32.8%, 67), indicating a preference for flexible and weekend morning activities. Participation was lowest during weekday noon (7.8%, 16) and weekend noon (7.4%, 15).

(9) Experience with Exchanges (Withdrawals)

Encouraged by the six implementing organizations, 59.3% (121) of respondents had experience withdrawing services, while 40.7% (83) had not. This suggests that the exchange mechanism is attractive to most members and that appropriate rule design can enhance participation in withdrawals.

(10) Main Types of Exchange Items

The most frequently exchanged items were "shared meals, cooking, and exchanging/sharing fruits and vegetables" (34.3%, 70), followed by "chatting and sharing personal matters over afternoon tea" (27.9%, 57). "Other services such as mobile phone repair, shift coverage, and photography" (16.2%, 33) and "board games, activity facilitation, shopping, and hiking" (15.7%, 32) were next. In contrast, "transportation, accompaniment for medical visits, and short trips" (14.7%, 30) and "dance instruction, coffee brewing, and computer/ word processing" (10.3%, 21) were less common. The least frequently exchanged categories were "cleaning fans, assembling bookshelves, changing light bulbs, lending appliances" (2.5%, 5) and "sewing buttons, doing laundry, drying clothes" (0.5%, 1).

These data show that members strongly prefer exchange items involving shared meals, sharing, and interpersonal interaction, whereas household maintenance and routine housework are seldom exchanged. Analysis of time banking transaction data confirms that social capital creation emerges primarily through repeated interpersonal exchanges focused on social connection rather than formal service provision [34].

Perceived Benefits of Time Bank Exchanges

Questionnaire results regarding perceived benefits of time bank exchanges are as follows:

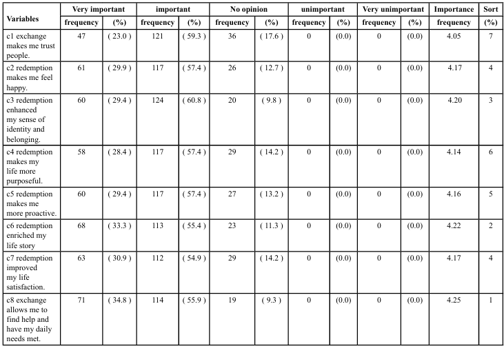
c1 "Exchange activities make me feel more trust in others": 82.3% rated this as "very important" or "important," with 17.6% reporting "no opinion"; no one rated it "unimportant" or "very unimportant."

c2 "Exchange activities give me a sense of happiness": over 80% (87.3%) rated this as "very important" or "important," and 12.7% had "no opinion."

c3 "Exchange activities enhance my sense of identity and belonging": 90.2% rated this as "very important" or "important," with 9.8% holding "no opinion," indicating that exchange activities strongly foster community identity and belonging.

c4 "Exchange activities give my life more purpose": 85.8% rated this as "very important" or "important," with 14.2% expressing "no opinion."

c5 "Exchange activities make me more proactive": 86.8% rated this as "very important" or "important," with 13.2% holding "no opinion."

c6 "Exchange activities enrich my life story": 88.7% rated this as "very important" or "important," with 11.3% "no opinion."

c7 "Exchange activities increase my life satisfaction": 85.8% rated this as "very important" or "important," with 14.2% "no opinion."

c8 "Exchange activities allow me to seek help from others and have my life needs met": a full 90.7% rated this as "very important" or "important"—the highest proportion—and 9.3% had "no opinion," indicating strong functional benefits for meeting practical needs.

Overall, for all items, the combined proportion of "very important" and "important" exceeded 80%, and no participants rated any item as "unimportant" or "very unimportant." This indicates that time bank exchange activities are widely perceived as highly beneficial. Among the items, the "very important" responses were highest for "exchange activities allow me to seek help from others and have my life needs met" and "exchange activities enrich my life story" (34.8% and 33.3%, respectively), suggesting that participants particularly value the resolution of everyday needs and the enrichment of personal life narratives.

In terms of mean importance scores, "exchange activities allow me to seek help from others and have my life needs met" had the highest mean of 4.25.

Figure 1. Radar chart showing the exchange benefits of each unit participating in the time bank.

Perceived Life Impacts of Time Bank Participation

Analysis of the 204 questionnaires revealed the following perceived life impacts:

d1 "I can get to know and come into contact with more people and things and receive positive feedback": mean 4.39, indicating that most participants believe time banks broaden their horizons and bring positive feedback.

d2 "I feel cheerful and fulfilled and no longer alone": mean 4.32, showing a marked effect on enhancing emotional wellbeing and alleviating loneliness.

d3 "I feel that I have learned more knowledge and skills": mean 4.32, indicating clear educational benefits.

d4 "I feel that my life has become more abundant and interesting": mean 4.34.

d5 "I feel that 'you help me, I help you' relationships are closer and more affectionate": mean 4.43, the highest among all items, suggesting strong impact on emotional bonding.

d6 "I have expanded my social circle and made more like-minded friends": mean 4.35.

d7 "I feel I now have a place to go; life has become more relaxed, convenient, and fun": mean 4.29.

d8 "I feel loved, needed, and cared for": mean 4.27.

d9 "I feel I can do more things and serve more people": mean 4.35, reflecting heightened awareness of social contribution.

d10 "I feel respected and fairly treated": mean 4.31, indicating positive contributions to equality and respect.

d11 "I feel I have autonomy and can allocate my time freely": mean 4.25, highlighting increased temporal flexibility.

d12 "I feel encouraged; both the giver and receiver of help are blessed": mean 4.33, signaling strong endorsement of reciprocal value.

d13 "I have a more accurate understanding and expectations of the time bank": mean 4.28, demonstrating effective dissemination of time bank concepts.

d14 "I believe that 'time exchange' is the core meaning and focus of time banks": mean 4.31, showing broad recognition of time exchange as the core value.

d15 "I feel that the density of interpersonal interactions is more important than the fairness of exchange": mean 4.32, indicating that participants value interpersonal connections more than strict fairness in exchanges.

d16 "I am willing to recommend or invite friends to join the time bank": mean 4.31, suggesting high recognition and willingness to promote the program.

d17 "I believe the time bank can help connect more social resources": mean 4.38, reflecting strong confidence in the time bank's resource integration potential.

d18 "I believe the time bank can help solve community/social problems": mean 4.39, indicating strong belief in its potential to address social issues.

d19 "I feel the time bank can cultivate more talents for local communities or organizations": mean 4.39, showing high expectations regarding its capacity-building role.

d20 "I feel the time bank can promote social harmony": mean 4.37, evidencing broad recognition of its contribution to social harmony.

All items had mean scores above 4, indicating that time bank participation exerts a generally positive influence on participants' lives. Among them, d1 and d5 showed the highest means (4.39 and 4.43), reflecting participants' particularly strong feelings about building and maintaining interpersonal relationships and gaining positive feedback through these relationships. These findings align with transaction data analysis showing that time banking participation correlates with increased social capital through repeated interpersonal exchanges [34].

Table 1: Presents the detailed univariate distribution of personal background variables.

Table 2: Summarizes the details of time bank participation status.

Table 3 and Figure 1present the frequency distributions and radar chart for perceived exchange benefits.

Figure 2. Radar chart showing the impact of time bank participation on daily life for various units.

Table 4. Distribution of the Number of Times of Participation in Time Banking in Daily Life (n204)

Comparison of Exchange Benefits across Sites

Chi-square tests were conducted on key variables to examine whether perceived exchange benefits differed significantly across the six sites (Dalin, Xingang, Dapi, Huwei, Beigang in Hsinchu City, and Dongpian in Neipu).

The line chart (Figure 3) shows that all sites have mean scores between 4.0 and 5.0 for each benefit item, indicating that time bank exchanges generate generally positive effects across locations. However, Dalin's "Living Hands Café" exhibits the highest ratings, closest to the maximum of 5.0, suggesting that its participants experience the strongest perceived benefits. In contrast, Dapi's "Wanpi Family" shows slightly lower benefit scores than the other sites, possibly due to differences in organizational promotion strategies and participant composition, which warrant further exploration. Overall, time banks positively influence trust, happiness, sense of purpose, identity, and life satisfaction among participants.

Figure 3: Comparison of Exchange Benefits for Different Units Participating in Time Banking

Table 5: Reports the chi-square statistics for exchange benefits across the six sites.

Comparison of Life Impacts across Sites

Further chi-square analyses of life impact items across the six sites show significant differences for most items, as summarized in Table 6.

Figure 4 indicates that all sites have mean scores between 4.0 and 5.0, again confirming the positive life impacts of time bank participation. Dalin's "Living Hands Café" consistently shows scores closest to 5.0, suggesting stronger perceived impacts on daily life. Dapi's "Wanpi Family," although still above 4.0, shows relatively weaker effects. Overall, time bank participation enhances quality of life, happiness, and social recognition across communities.

Conclusion and Recommendations

Based on the analyses of participation behaviors, perceived exchange benefits, and perceived life impacts, this study proposes the following conclusions and recommendations.

Time Bank Participation Behaviors

Among time bank members, 68.6% had prior volunteer experience, indicating that most mutual-aid exchange members have been, or still are, volunteers. After joining the time bank, 32.4% reported gaining 8–10 new friends. Weekly hours of participation are mainly 2 hours or less (59.3%). Participation times are predominantly flexible and on weekend mornings, with 69.1% preferring irregular or weekend morning schedules, suggesting a strong need for flexible service models.

More than half of the respondents reported having used the exchange mechanism. The most common items exchanged were "shared meals, cooking, and exchanging/sharing fruits and vegetables" (34.3%), followed by "chatting, sharing personal matters, and having afternoon tea" (27.9%), indicating a preference for shared meals, sharing, and building interpersonal relationships. These participation patterns suggest that successful time banking emphasizes social connection over transactional efficiency.

Figure 4: Comparison of the impact of time bank participation on daily life for various units

Table 6. Chi-square analysis of the impact of each unit's participation in the time bank on their daily lives.

Perceived Benefits of Time Bank Exchanges

Overall, mean scores for all exchange benefit items exceeded 4, indicating high perceived importance and recognition. The ranking of benefits is as follows:

1. Exchange activities allow my life needs to be met with others' help.

2. Exchange activities enrich my life story.

3. Exchange activities enhance my sense of identity and belonging.

4. Exchange activities give me a sense of happiness.

5. Exchange activities increase my life satisfaction.

6. Exchange activities make me more proactive.

7. Exchange activities give my life more purpose.

8. Exchange activities make me feel more trust in others.

These findings suggest that mutual-aid behaviors in time banks can effectively mitigate issues such as family structural change and solitary death among older people. Through "you help me, I help you" interactions, members gain a sense of achievement and foster mutual trust via two-way services, thereby creating a community atmosphere of friendliness and care.

Perceived Life Impacts of Time Bank Participation

All items measuring life impact showed mean scores above 4, confirming that time bank participation positively affects everyday life. The highest means were for d1 and d5 (4.39 and 4.43), indicating that participants particularly value the opportunity to connect with more people and things and to cultivate closer, warmer interpersonal relationships via mutual aid.

Over the past decade, time banks in Europe, the United States, and Japan have often been used as tools to rebuild formal and informal community networks [5,6]. In the event of natural disasters, time banks can quickly mobilize network resources, enabling residents and local civil organizations to collaborate in post-disaster assistance and recovery.

In summary, time bank members gain not only services or technical exchanges but also personal growth and expanded possibilities for their life trajectories.

Research Limitations

Sample Representativeness

This study focuses only on time bank participants in six communities. Therefore, the findings cannot be directly generalized to all time bank members nationwide. The cross-sectional design limits our ability to make causal inferences about the relationship between time banking participation and perceived benefits. Future longitudinal research tracking participants over time would strengthen understanding of how time banking effects develop and persist.

Contextual Characteristics of the Sample

The six study sites (Dalin, Xingang, Dapi, Huwei, Beigang in Hsinchu, and Dongpian in Neipu) are primarily rural or semi-rural and dominated by agriculture and fisheries. Their relatively slow urbanization may limit the generalizability of the findings to more urbanized regions. Additionally, the absence of a control group comparison limits our ability to determine whether observed benefits are uniquely attributable to time banking versus other forms of community engagement.

Positive Response Bias

The uniformly high agreement rates (>80% for most items) may reflect self-selection bias among participants who chose to join and remain active in time banks, as well as social desirability effects in self-reported survey data. Critical examination of participants who discontinued involvement or experienced challenges would provide a more balanced assessment.

Recommendations

Balancing Paid Work and Unpaid Service

Time banks emphasize equality, reciprocity, and mutual aid, viewing every individual as an asset and advocating "equal time exchange." In practice, however, the professionalism of some services must be respected, suggesting that "equal value exchange" based on user-pay principles is sometimes necessary. Balancing paid work and unpaid service can promote local micro-economies and circular economies, encouraging members to maintain high interaction rates between giving and receiving.

Separating Volunteer Hours from Time Bank Hours

Traditional volunteer service is based on altruistic, non-remunerated giving, whereas time bank services aim for both altruism and self benefit. Centering on people and prioritizing the satisfaction of everyday needs can increase diversity, enjoyment, and practical usefulness of services and sustain motivation and capacity. While both volunteer and time bank hours can provide external material rewards and internal psychological benefits (e.g., happiness and social capital), they differ in purpose and mode of operation and therefore should not be counted simultaneously to avoid complexity and disputes in time accounting.

Emphasizing Immediacy and Diversity in Meeting Everyday Needs

In a longevity society, care must begin with self-help and extend to mutual aid. Research on "shared elderly care" models indicates that elderly willingness to participate is influenced by perceived social support, health status, and trust in community networks [35], factors that time banking mechanisms can actively cultivate. As a tool for facilitating social interaction, time banks in Taiwan face structural constraints that make it difficult to standardize development models.

Nevertheless, experience from the Chung Cheng University time bank project indicates that once narrow definitions of "community" and "territory" are transcended, time banks can promote cross-sector, cross-generational, and cross-professional interactions and actions, invigorating and empowering community development. Over time, they can form relatively reciprocal modes of mutual benefit and consolidate social solidarity.

Engaging Younger Generations

Expanding time banking to include younger demographics is essential for sustainability and intergenerational equity. Studies examining university students' participation in time banking volunteer services for older adults reveal that factors such as altruistic values, perceived social responsibility, and practical experience opportunities significantly influence engagement [36]. Developing targeted recruitment strategies that emphasize skill development, social networking, and meaningful contribution may attract younger participants while diversifying the service portfolio.

Adapting to Local Cultural Contexts

The development of distinct regional time banking models observed in this study reflects broader patterns in community- based innovation. Research on mutual support among older people demonstrates that factors such as social participation, family structure, and local cultural norms shape willingness to engage in reciprocal helping behaviors [8], suggesting that successful time banking requires deep cultural adaptation rather than standardized implementation. Qualitative research on scope and challenges in time bank implementation confirms that contextual factors including existing community organization structures, trust levels, and resource availability significantly influence outcomes [10].

Promoting Flexible and Forward-Looking Time Bank Models

Time banks seek to treat everyone equally as an asset, prioritizing social values over market prices and transforming "distinctions" in interpersonal interactions into "empathy." Because time banks are designed to empower community residents to address social issues autonomously, their development must vary across individuals and localities. Each locality should cultivate its own distinctive features, values, and directions, while also building consensus and promoting exchanges. In this way, time banks can stimulate more diverse service models, rebuild and reinforce mutual support networks in communities and society at large.

Overall Conclusions

Time Banks Promote Community Mutual Support

Time bank mechanisms encourage community members to provide services to one another, enhancing participants' happiness and strengthening community cohesion. Through "you help me, I help you" interactions, members build trust and friendships, forming denser social networks. This finding is consistent with social capital theory's emphasis on the role of reciprocal exchange in building bridging and bonding capital [3].

Time Banks Enhance Social Trust

The findings show that participants generally believe that exchange (mutual aid) behaviors increase their trust in others. This trust strengthens not only individual relationships but also community stability and development, contributing to the accumulation of social capital [13,29]. The high ratings for trust-building across all six sites suggest that time banking's reciprocal structure effectively addresses concerns about fairness and exploitation that can undermine traditional volunteer models.

Time Banks Increase Happiness and Sense of Belonging

Participants widely report that mutual-aid activities improve their happiness and community identification. Time banks thus serve not just as platforms for resource exchange but also as mediums for emotional connection, enabling participants to feel needed and valued. These findings align with health promotion research demonstrating that community currency organizations enhance wellbeing through social connection and meaningful engagement [27].

Time Banks Address Diverse Community Needs

The study finds that different regions have developed distinct time bank models that reflect local needs and cultures. From Dalin to Neipu, the six townships demonstrate the flexibility and adaptability of time banks. By establishing exchange and communication platforms, communities can enhance emotional ties and strengthen horizontal resource linkages and cooperation, thereby fully realizing mutual-aid spirit and improving service effectiveness. This diversity in implementation models, while creating challenges for standardization, represents a strength rather than weakness allowing time banking to respond to heterogeneous community contexts and needs.

Implications for Policy and Practice

In conclusion, as a key tool for building symbiotic communities through local embedding, resource linkage, appropriate management mechanisms, and sustainable development time banks not only enhance interaction and support among community members but also increase social trust, happiness, and sense of belonging. Looking ahead, time banks should continue to be promoted and their applications in different fields explored. Developing localized time bank models will help alleviate shortages of caregiving manpower and resources in township-level communities under the pressures of a super-aged society.

However, policymakers and practitioners must remain attentive to implementation challenges documented in international research, including tensions between bureaucratic accountability and community flexibility [22], difficulties in sustaining participation beyond early enthusiasts [32], and the need to balance technological efficiency with accessibility for digitally marginalized populations [30]. The success of Taiwan's township-based time banks ultimately depends on maintaining the delicate balance between structure and flexibility, formalization and informality, technological innovation and human connection a balance that must be continuously negotiated through participatory governance and responsive adaptation to emerging community needs.

Study Limitations and Future Research Directions

Several limitations of this study should be acknowledged. First, the cross-sectional design captures time bank participation at a single point in time preventing causal inferences about the relationship between participation and reported benefits. Longitudinal research is needed to track changes in social capital and community wellbeing over time and to examine how different implementation model evolve.

Second, the uniformly positive responses across benefit and impact items may reflect response bias, including social desirability effects and self-selection of satisfied participants. The sample consists of active members who chose to participate in the survey, potentially excluding voices of those who discontinued participation or experienced negative outcomes. Future research should employ mixed methods to capture a fuller range of experiences. including challenges and barriers to participation.

Third, While the questionnaire items demonstrated face validity. Psychometric properties including reliability coefficients and construct validity were not formally assessed. Future studies should validate measurement instruments and consider incorporating established scales from social capital and community wellbeing research.

Fourth, the observed differences across townships, particularly Dalin’s consistently high ratings and Dapi’s lower ratings. require deeper investigation. While we identified distinct implementation models the mechanisms linking township characteristics (demographic composition organizational capacity. cultural context) to participation outcomes remain underexplored. Comparative case studies employing qualitative methods could illuminate these contextual dynamics.

Finally, generalizability beyond Taiwan’s context is limited. While this study documents successful adaptation of time banking to local buan-gong traditions, the transferability of these findings to other cultural contexts requires empirical examination Cross-national comparative research could identify which elements of Taiwan’s model are culturally specific versus potentially universal principles of effective time bank implementation.

Competing Interests:

The Authors have no competing interests to disclose.

References

  1. United Nations Convention to Combat Desertification. (2022). Global land outlook 2: Land restoration for recovery and resilience (2nd ed.). UNCCD. View

  2. Manta, O., & Palazzo, M. (2024). Transforming financial systems: The role of time banking in promoting community collaboration and equitable wealth distribution. FinTech, 3(3), 407–423. View

  3. Putnam, R. D. (2000). Bowling alone: The collapse and revival of American community. Simon & Schuster. View

  4. Naughton-Doe, R., Cameron, A., & Carpenter, J. (2020). Timebanking and the co-production of preventive social care with adults: What can we learn from the challenges of implementing person-to-person timebanks in England? Health & Social Care in the Community, 29(5), 1285–1295. View

  5. Molnar, S. (2011). Time is of the essence: The challenges and achievements of a Swedish time banking initiative. International Journal of Community Currency Research, 15, 13–22. View

  6. Seyfang, G. (2004). Time banks: Rewarding community self help in the inner city? Community Development Journal, 39(1), 62–71. View

  7. Hu, Y. (2024). The development of China time bank from the perspective of institutionalization construction. Journal of Sociology and Ethnology, 6(4), 38–43. View

  8. Xu, L., Lin, L., Huang, X., Guan, A., Cheng, L., Zheng, Y., & Zhang, S. (2025). Factors influencing mutual support among older people in China: A cross-sectional study. Frontiers in Public Health, 13, Article 1439685. View

  9. Lu, S., Chui, C., Lum, T., Liu, T., Wong, G., & Chan, W. (2024). Promoting late-life volunteering with timebanking: A quasi experimental mixed-methods study in Hong Kong. Innovation in Aging, 8(3), Article igae056. View

  10. Verma, A., Sridhar, S., Dar, K. F., & Asthana, M. K. (2024). Scope and challenges in the implementation of time bank in India: A qualitative study. Discover Global Society, 2, Article 14. View

  11. Bourdieu, P. (1986). The forms of capital. In J. Richardson (Ed.), Handbook of theory and research for the sociology of education (pp. 241–258). Greenwood. View

  12. Pestoff, V., Brandsen, T., & Verschuere, B. (2012). New public governance, the third sector and co-production. Routledge. View

  13. Coleman, J. S. (1988). Social capital in the creation of human capital. American Journal of Sociology, 94, S95–S120. View

  14. Chaskin, R. J., Brown, P., Venkatesh, S., & Vidal, A. (2001). Building community capacity. Aldine de Gruyter. View

  15. Bridger, J. C., & Luloff, A. E. (2001). Building the sustainable community: Is social capital the answer? Sociological Inquiry, 71(4), 458–484. View

  16. Cahn, E. S. (1999). Time dollars, work and community: From "why?" to "why not?". Futures, 31(5), 499–509. View

  17. Cahn, E. S. (2009). Time dollars: A new currency in community building. Time Dollar Institute. View

  18. Jiao, H., Lin, M., Ma, L., He, M., & Yu, S. (2024). Examining the role of intrinsic and extrinsic cues from service requirement narratives in web-based time banking participation decisions. Frontiers in Public Health, 12, Article 1502079. View

  19. Lin, H.-C., & Liu, H.-H. (2018). The meaning and practice of time banks in contemporary community development. Journal of Taiwan Community Work and Community Studies, 8(2), 1–42.

  20. Lin, H.-S. (2020). The development and prospects of Indigenous social work in Taiwan: A culturally oriented historical analysis. Community Development Quarterly, 169, 75–89.

  21. Liu, H.-Y., Wu, M.-R., Lin, S.-J., & Hsu, L.-Y. (2022). A preliminary analysis of township-based time bank multi empowerment practices. Journal of Taiwan Community Work and Community Studies, 12(2).

  22. Glynos, J., Roussos, K., Voutyras, S., & Warren, R. (2023). Paradoxes in the management of timebanks in the UK's voluntary sector: Discursive bricolage and its limits. VOLUNTAS: International Journal of Voluntary and Nonprofit Organizations, 34(5), 1039–1050. View

  23. Liu, H.-Y. (2014). Local practice of active aging: An analysis of cross-strait time bank experiences [Doctoral dissertation, National Chung Cheng University]. National Chung Cheng University Repository.

  24. Ministry of Health and Welfare, Department of Statistics. (2020). Statistics on aging and long-term care. View

  25. Liu, H.-Y., & Wu, M.-R. (2014). Comparing time bank experiences in Taiwan, Mainland China, and Hong Kong from a social capital perspective. Taiwan Journal of Social Welfare, 1–45.

  26. Huang, P.-T., & Lee, H.-C. (2018). Linking services to foster filial piety through mutual aid: A pathway to social economy care models. National Land and Public Governance Quarterly, 6(1), 54–61.

  27. Health Promotion Practice. (2011). Time banking and health: The role of a community currency organization in enhancing well-being. Health Promotion Practice, 12(1), 102–115. View

  28. Wu, M.-R., & Chou, Y.-H. (2017). An exploratory study of Taiwan's time bank implementation experiences: A social network analysis perspective. Journal of Taiwan Community Work and Community Studies, 7(2), 45–95.

  29. Fukuyama, F. (1999). Social capital: The Tanner Lectures on Human Values. The Tanner Lectures on Human Values, 19, 375–484. View

  30. Chen, H., Chu, Y.-C., & Lai, F. (2023). Mobile time banking on blockchain system development for community elderly care. Journal of Ambient Intelligence and Humanized Computing, 14(7), 8849–8864. View

  31. Fan, T.-Y., Chen, M.-Y., Hsieh, Y.-T., Fang, K.-J., & Chiang, C.-C. (2018). Let us be closer to each other: A marketing plan for a shared family App. Journal of Chung Kuo Institute of Technology, 5(1), 49–70.

  32. Ozanne, L. K. (2010). Learning to exchange time: Benefits and obstacles to time banking. International Journal of Community Currency Research, 14, 1–16. View

  33. Wu, M.-R. (2016). The practice and reflection of community labor exchange. Community Development Quarterly, 154, 236 256.

  34. Carnero, M. Á., Martínez, B., & Sánchez-Mangas, R. (2024). Time banking and social capital creation: A transaction data analysis. Revista Galega de Economía, 33(1), Article 9263. View

  35. Wan, H., Zhao, Z., Li, X., Xiang, T., Qi, Y., Zhang, J., & Qin, Y. (2025). What might influence the elderly willingness to participate in "shared elderly care"? A mixed methods study. Frontiers in Medicine, 12, Article 1615192. View

  36. Wu, Y., Liu, S., Song, Y., Zhang, Z., & Liu, Y. (2024). The influencing factors of participation in time banking volunteer service for older adults among university students in Nanjing, China. Frontiers in Public Health, 11, Article 1289512. View

LICENSE

This work is licensed under a Creative Commons Attribution 4.0 International License.

Quick Links

  • Open Access
  • About Us
  • Journal
  • Submit Manuscript
  • Copyright & Licensing Policy

Contact Us

  • Plot No. - 814/1775, Jayar Sasan, Bhubaneswar, Odisha, India, Pin - 752101
  • +91 7682 015 542
  • info@gexinonline.com
MEMBER OF
JOURNAL ARCHIVED IN

© Gexin Publications.

All Rights Reserved.